Beranda
/ Dilatasi Yang Berpusat Di Titik (3 1) Dengan Faktor Skala 3 : Soal Bayangan Kurva 5 6 Jika Dicerminkan Terhadap Sumbu 1 5 Dan Dilanjutkan Dengan Dila - Jika titik m'(x, y) merupakan hasil dilatasi, maka koordinat titik m' adalah ….
Dilatasi Yang Berpusat Di Titik (3 1) Dengan Faktor Skala 3 : Soal Bayangan Kurva 5 6 Jika Dicerminkan Terhadap Sumbu 1 5 Dan Dilanjutkan Dengan Dila - Jika titik m'(x, y) merupakan hasil dilatasi, maka koordinat titik m' adalah ….
Dilatasi Yang Berpusat Di Titik (3 1) Dengan Faktor Skala 3 : Soal Bayangan Kurva 5 6 Jika Dicerminkan Terhadap Sumbu 1 5 Dan Dilanjutkan Dengan Dila - Jika titik m'(x, y) merupakan hasil dilatasi, maka koordinat titik m' adalah ….. Perhatikan lingkaran pada gambar di bawah yang berpusat di titik p(4, 2) dan melalui titik q(4, 4) berikut yang didilatasi terhadap pusat o(0,0) dengan faktor skala 1/2. Dilatasi ditentukan oleh faktor skala (k) dan pusat dilatasi. Tentukan bayangan δdef yang berpusat di titik asal dan faktor skala 2. Dilatasi transformasi matematika khusus kelas 9. Hitung lah luas segitiga yang baru.
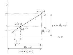
Soal dan pembahasan dilatasi perkalian dengan matriks ilmuku duniaku. Faktor skala dapat berupa bilangan positif atau bilangan negatif. Hitunglah luas segitiga yang baru. A (a,b) 0,k a (ka,kb. Jika a′(x′,y′) adalah koordinat titik bayangan yang dimaksud, maka.
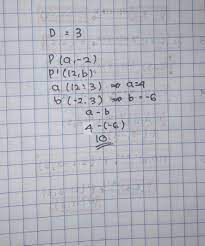
Soal Bayangan Titik P 2 1 Oleh Dilatasi Terhadap Titik Pusat A 3 4 Dengan Faktor Skala 3 Ad from zs-inline.s3.ap-southeast-1.amazonaws.com Segitiga abc didalatasi dengan pusat dilatasi titik awal p (0, 0) sehingga menghasilkan segitiga a 2 b 2 c 2 dan segitiga a 3 b 3 c 3. Hitung lah luas segitiga yang baru. Dilatasi yang berpusat di titik 3 1 dengan faktor skala 3 memetakan titik 5 b ke titik a 10. Tentukan bayangan δabc yang berpusat di o(0,0) dengan factor skala 3. Jika titik a (a,b) didilatasi dengan faktor skala k dan titik pusat dilatasi 0, maka koordinat bayangannya dapat dituliskan sebagai berikut : Di dilatasi dengan pusat (0,0) dan faktor skala 3. Faktor perbesaran atau perkecilan disebut juga dengan faktor perkalian atau faktor skala. Contoh soal transformasi geometri translasi refleksi rotasi dilatasi dan pembahasan berikut ini rangkuman contoh soal transformasi geometri translasi refleksi rotasi dilatasi pilihan.
Jika yang dilatasikan suatu bangun, maka itu akan mengubah ukuran tanpa mengubah bentuk bangun tersebut.
Perhatikan lingkaran pada gambar di bawah yang berpusat di titik p(4, 2) dan melalui titik q(4, 4) berikut yang didilatasi terhadap pusat o(0,0) dengan faktor skala 1/2. Sedangkan dilatasi dengan pusat titik a(a,b) dengan faktor skala k dilambangkan a,k. Apa yang dimaksud dengan dilatasi ? Dilatasi pada transformasi geometri mengakibatkan ukuran benda berubah, faktor yang menyebabkan diperbesar atau diperkecilnya suatu bangun ini disebut faktor dilatasi atau faktor skala atau faktor pengali. Perbesaran atau pengecilan suatu bangun oleh dilatasi membutuhkan suatu titik acuan yangg. Dilatasi yang berpusat di titik (3, 1) dengan faktor skala 3, memetakan titik (5, b) ke titik (a, 10). Ingat, rumus dilatasi terhadap titik pusat dengan faktor skala adalah. Tentukan faktor skala k yang digunakan untuk dilatasi ∆klm menjadi ∆k''l''m''. Tentukan bayangan δdef yang berpusat di titik asal dan faktor skala 2. Dengan demikian dapat dikatakan bahwa suatu dilatasi ditentukan oleh: Dilatasi ditentukan oleh faktor skala (k) dan pusat dilatasi. Segitiga abc didalatasi dengan pusat dilatasi titik awal p (0, 0) sehingga menghasilkan segitiga a 2 b 2 c 2 dan segitiga a 3 b 3 c 3. Jika dilatasi termasuk ke dalam pembesaran maka faktor skala atau nilai dari k > 1.
A (a,b) 0,k a (ka,kb. Bagaimana bentuk bayangan suatu bangun jika didilatasi dengan faktor skala yang bernilai negatif? Dilatasiyang berpusat di p dengan faktor skala k dinotasikan dengan p,k. Faktor skala yang digunakan adalah 1 2 matematika 321. Soal dan pembahasan dilatasi perkalian dengan matriks ilmuku duniaku.
Bayangan Kurya Y X 1 Oleh Dilatasi Pusat O Dengan Faktor Skala 2 Dilanjutkan Pencerminan Brainly Co Id from id-static.z-dn.net Segitiga abc didalatasi dengan pusat dilatasi titik awal p (0, 0) sehingga menghasilkan segitiga a 2 b 2 c 2 dan segitiga a 3 b 3 c 3. Dilatasi yang berpusat di p dengan faktor skala k dinotasikan dengan p,k. Dilatasi pada transformasi geometri mengakibatkan ukuran benda berubah, faktor yang menyebabkan diperbesar atau diperkecilnya suatu bangun ini disebut faktor dilatasi atau faktor skala atau faktor pengali. Hasil bayangan yang dibentuk dari dilatasi hanya ada dua jenis: Tentukan lah bayangan segitiga abc atau a'b'c'. Soal dan pembahasan dilatasi perkalian dengan matriks ilmuku duniaku. Ingat, rumus dilatasi terhadap titik pusat dengan faktor skala adalah. Pengertian dilatasi dilatasi atau perkalian bangun adalah suatu transformasi yang memetakan himpunan titik (bangun) ke himpunan titik lainnya dengan cara memperbesar atau memperkecil dengan titik pusat dilatasi tertentu.
Gambar di bawah ini menunjukkan bagaimana dilatasi dapat menghasilkan bayangan yang lebih besar dan bayangan yang lebih kecil dari aslinya.
Tentukanlah bayangan segitiga abc atau a'b'c'. Tentukan persamaan bayangan garis y=3x+2 oleh dilatasi dengan pusat p(21) dan faktor skala 4. Bagaimana bentuk bayangan suatu bangun jika didilatasi dengan faktor skala yang bernilai negatif? Dengan demikian dapat dikatakan bahwa suatu dilatasi ditentukan oleh: Tentukan bayangan δabc yang berpusat di o(0,0) dengan factor skala 3. 40 soal dan pembahasan dimensi 3. Jika a′(x′,y′) adalah koordinat titik bayangan yang dimaksud, maka. Contoh soal hots transformasi geometri. Di dilatasi dengan pusat (0,0) dan faktor skala 3. Dilatasi pada transformasi geometri mengakibatkan ukuran benda berubah, faktor yang menyebabkan diperbesar atau diperkecilnya suatu bangun ini disebut faktor dilatasi atau faktor skala atau faktor pengali. Nilai (a,b) merupakan pusat dilatasi yaitu (1,3). Dilatasi yang berpusat di p dengan faktor skala k dinotasikan dengan p,k. A (a,b) 0,k a (ka,kb.
Nilai (a,b) merupakan pusat dilatasi yaitu (1,3). Dilatasi yang berpusat di titik (3, 1) dengan faktor skala 3, memetakan titik (5, b) ke titik (a, 10). Jika a′(x′,y′) adalah koordinat titik bayangan yang dimaksud, maka Di dilatasi dengan pusat (0,0) dan faktor skala 3. Gambar di bawah ini menunjukkan bagaimana dilatasi dapat menghasilkan bayangan yang lebih besar dan bayangan yang lebih kecil dari aslinya.
4 Garis Tu Berkoordinat Descubre Como Resolverlo En Qanda from thumb-m.mathpresso.io Tentukan bayangan setiap bangun berikut setelah didilatasi dengan faktor skala dan berpusat di titik asal. Hitunglah luas segitiga yang baru. Tentukan bayangan δabc yang berpusat di o(0,0) dengan factor skala 3. Kali ini kita akan membahas materi matematika untuk siswa smp, baik kelas 7, kelas 8 maupun kelas 9 secara lengkap yang disajikan dalam bentuk garis besar materi. Dilatasi yang berpusat di titik (3, 1) dengan faktor skala 3, memetakan titik (5, b) ke titik (a, 10). Pengertian dilatasi dilatasi atau perkalian bangun adalah suatu transformasi yang memetakan himpunan titik (bangun) ke himpunan titik lainnya dengan cara memperbesar atau memperkecil dengan titik pusat dilatasi tertentu. Jika bayangannya t (4, 5), b 08. (2, 6) 2 seterusnya dengan.
Tentukan lah bayangan segitiga abc atau a'b'c'.
Sedangkan dilatasi dengan pusat titik a(a,b) dengan faktor skala k dilambangkan a,k. Perhatikan lingkaran pada gambar di bawah yang berpusat di titik p(4, 2) dan melalui titik q(4, 4) berikut yang didilatasi terhadap pusat o(0,0) dengan faktor skala 1/2. Dilatasi pada transformasi geometri mengakibatkan ukuran benda berubah, faktor yang menyebabkan diperbesar atau diperkecilnya suatu bangun ini disebut faktor dilatasi atau faktor skala atau faktor pengali. Jika yang dilatasikan suatu bangun, maka itu akan mengubah ukuran tanpa mengubah bentuk bangun tersebut. Dengan demikian dapat dikatakan bahwa suatu dilatasi ditentukan oleh: Penyelesaian soal ini sangat lah mudah, masing masin titik cukup dikalikan dengan faktor dilatasi yaitu 3. Tentukan persamaan bayangan garis y=3x+2 oleh dilatasi dengan pusat p(21) dan faktor skala 4. Diketahui titik pusat dilatasi adalah p(1, 1) maka a = 1 dan b = 1. 21 soal soal transformasi geometri contoh soal dan pembahasan transformasi geometri dilatasi dilatasi yang berpusat di titik 3 1 dengan faktor skala 3 memetakan titik 5 b ke titik a 10. Bagaimana bentuk bayangan suatu bangun jika didilatasi dengan faktor skala yang bernilai negatif? Hitunglah luas segitiga yang baru. Dilatasi ditentukan oleh faktor skala (k) dan pusat dilatasi. Suatu dilatasi yang berpusat o(0,0) dengan faktor skala k dilambangkan o,k.
Berbagi
Posting Komentar
untuk "Dilatasi Yang Berpusat Di Titik (3 1) Dengan Faktor Skala 3 : Soal Bayangan Kurva 5 6 Jika Dicerminkan Terhadap Sumbu 1 5 Dan Dilanjutkan Dengan Dila - Jika titik m'(x, y) merupakan hasil dilatasi, maka koordinat titik m' adalah …."
Posting Komentar untuk "Dilatasi Yang Berpusat Di Titik (3 1) Dengan Faktor Skala 3 : Soal Bayangan Kurva 5 6 Jika Dicerminkan Terhadap Sumbu 1 5 Dan Dilanjutkan Dengan Dila - Jika titik m'(x, y) merupakan hasil dilatasi, maka koordinat titik m' adalah …."